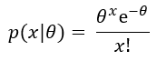
poisson Published June 14, 2018 at 173 × 67 in Comparing Scoring Talent with Empirical Bayes ← Previous Next →